下一篇:20250202公告
上一篇:暂无
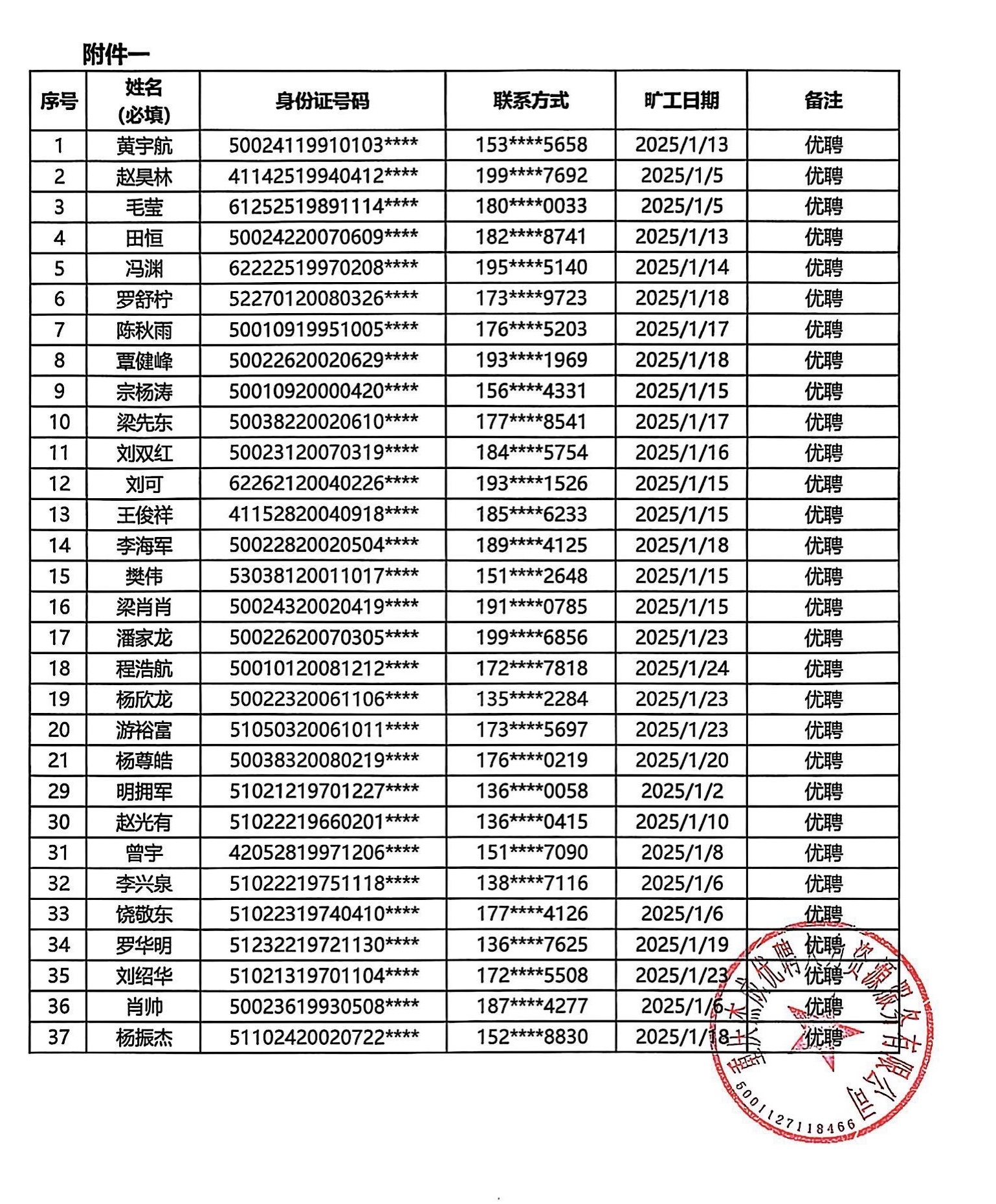
20250503公告
20250502公告
20250501公告
20250403
20250402
20250401
20250302公告
20250301公告